译自原文
Over 600 V Lateral AlN-on-AlN Schottky Barrier Diodes with Ultra-Low Ideality Factor
原文作者
Dinusha Herath Mudiyanselage, Dawei Wang, Ziyi He, Bingcheng Da, and Houqiang Fu, Member, IEEE,the School of Electrical, Computer, and Energy Engineering, Arizona State University
原文链接
https://doi.org/10.35848/1882-0786/ad5e5a, Appl. Phys. Express 17 074001
项目支持方
美国能源部能源前沿研究中心(DOE), 美国国家自然基金(NSF)
摘要
本文报道了通过金属有机化学气相沉积(MOCVD)技术在单晶AlN衬底上成功制备了横向AlN肖特基势垒二极管(SBDs),该二极管具有η=1.65的超低理想因子,击穿电压(BV)高达640V,并且按照阳极至阴极距离(LAC)归一化后的击穿电压达到了创纪录的高水平。同质外延生长的AlN外延层缺陷密度显著降低,表面形态优异,AlN欧姆接触也有所改进。在正向偏置条件下,器件展现出超低的η值1.65和高肖特基势垒高度(1.94 eV)。器件电流主要由热电子发射所主导,而大多数先前报道的AlN SBDs则受到缺陷诱导电流的影响,其η值远高于4。此外,这些器件还表现出优异的整流特性,开/关比例高达107至109,并且在298K至573K的温度范围内展现出卓越的热稳定性。在反向偏置条件下,器件显示出高达640 V的击穿电压,并且在横向AlN SBDs中实现了创纪录的高归一化击穿电压(BV/LAC)。这项工作代表着向高性能超宽带隙AlN基高电压和高功率器件迈出了一大步。
引言
氮化铝(AlN)作为一种超宽带隙(UWBG)半导体,近年来因其6.2 eV的超宽带隙(Eg)和12-15 MV/cm的大临界击穿场(Ec)而吸引了研究界的兴趣,特别是在下一代高压和高温电子器件领域。然而,AlN基电子器件的发展受到几个具有挑战的障碍。首先,AlN外延层的可控n型掺杂仍在开发中。硅(Si)被用作AlN中的n型掺杂剂,但其电离能高达约250 meV。在低掺杂水平下,碳杂质(CN)和位错充当补偿剂,而在高掺杂水平下,VAl + nSi复合体会降低自由电子载流子浓度。因此,在Si掺杂的AlN外延层中,自由电子浓度呈现出“膝部”行为(knee behavior),最大浓度约为2×1015 cm-3。其次,形成欧姆接触仍然具有挑战性,大多数金属与AlN表现出类似肖特基的行为。此外,实现具有理想肖特基势垒高度(𝜑𝑏)的AlN肖特基接触很困难。最近关于AlN肖特基势垒二极管(SBDs)的研究进展显示了其在高压电子器件领域的巨大前景。然而,所有这些器件都受到高理想因子(η>4.0)的影响,表明电流传输机制偏离了众所周知的热电子发射(TE)理论。这可能有几个原因。首先,由于高𝜑𝑏(Ni肖特基接触约为2 eV),TE电流非常低。其次,在低偏置条件下可能存在通过缺陷和位错的电流,这降低了TE电流。在高偏置下,电流传输受到AlN外延层串联电阻的限制。最近,Quiñones等人展示了具有Ni肖特基接触η =1.5–1.7的低理想因子AlN SBDs。他们利用大面积矩形欧姆接触(~ mm²)来抑制位错/缺陷引起的电流,以增强TE电流。然而,这些器件的击穿电压尚未研究,鉴于AlN单晶衬底的高成本,并且大器件面积可能会增加总器件成本。在这项工作中,我们展示了单晶AlN衬底上具有超低(η=1.65)影响因子和耐640 V击穿电压的AlN SBDs。这项工作代表了AlN电力电子技术的重大进步,并为未来高性能UWBG AlN电力电子器件的开发打开了大门。
器件制备
AlN外延层是通过金属有机化学气相沉积 (MOCVD)在单晶AlN衬底 (位错密度约103 cm-2)上生长的。使用三甲基铝(TMAl)和氨气(NH3)作为前驱体,而硅烷(SiH4)作为n型掺杂剂。生长温度和压力分别为1250°C和20 Torr,更多生长细节可参考其它文献。生长和制备的器件结构如图1(a)所示,包括一个1 μm厚的AlN层作为电阻缓冲层,一个200 nm高Si掺杂的n-AlN层,以及一个2 nm未掺杂的GaN覆盖层。n-AlN层中的Si掺杂浓度为1×1019 cm-3。GaN覆盖层用于防止下面的AlN外延层在暴露于空气时氧化,这可能会降低器件性能。如图1(c)-1(d)所示,通过原子力显微镜(AFM)测量的同质外延生长的AlN外延层具有平滑的表面形态,RMS粗糙度约为0.4 nm,并且通过高分辨率X射线衍射(HRXRD)测量的位错密度低至104 cm-2数量级。使用单晶AlN衬底相比在蓝宝石上的AlN外延层,将外延层的位错密度降低了三个数量级以上。
![]()
图1. (a) 制备的AlN SBD示意图。(b) 对数和线性尺度上正向电流-电压(I-V)特性。(c) 原子力显微镜(AFM)图像和(d) 单晶AlN衬底上生长的AlN外延层的(0002)摇摆曲线。
在器件制备过程中,样品首先经历了一个清洁过程,包括使用超声波辅助的丙酮、异丙醇和去离子水,以及盐酸去除表面污染物。AlN SBDs的制备采用了传统的光学光刻和剥离工艺。欧姆接触是通过电子束(e-beam)沉积Ti/Al/Ti/Au(25/100/25/50 nm)金属堆叠层形成的,随后在N2中950°C下进行快速热退火(RTA)30秒。圆形欧姆接触的宽度为100 μm。与欧姆接触同时制备了100×200 μm矩形转移长度方法(TLM)结构来测量AlN欧姆接触行为。Ni/Au(25/125 nm)金属堆叠层通过电子束蒸发沉积作为肖特基接触。肖特基接触的直径为100 μm,阴极到阳极的距离LAC为5 μm。器件使用等离子体增强化学气相沉积(PECVD)的200 nm SiO2进行钝化。最后,使用基于氟的(SF6)反应离子刻蚀(RIE)打开接触孔。电气测量是在配备有Keithly 4200 SCS半导体分析仪和热夹头的探针台上进行的。反向I-V特性使用Keysight B1505A功率器件分析仪/曲线跟踪器测量,反向击穿测量在室温下的绝缘Fluorinert液体FC-70中进行。
结果与讨论
图1(b)展示了AlN SBD的正向I-V特性,分别在log和线性尺度上。η和𝜑𝑏是根据方程(1)和(2)计算的,

其中𝑘、𝑇、𝑅、𝐴∗、𝐽𝑠和𝜑𝑏分别代表玻尔兹曼常数、绝对温度、串联电阻、理查森常数(Richardson constant)、反向饱和电流密度和肖特基势垒高度。当η偏离1时,𝜑𝑏通常被有效肖特基势垒高度𝜑𝑒𝑓𝑓所替代。该器件显示出超低的η=1.65和高𝜑𝑒𝑓𝑓=1.94 eV。本工作中的η是已报道的AlN SBDs超低值之一。这表明电流传导主要是由TE引起的,缺陷引起的电流被最小化。此外,该器件的𝜑𝑒𝑓𝑓也很高,约1.9 eV,与之前报道的主要由缺陷引起的电流传输主导的AlN高压器件的𝜑𝑒𝑓𝑓相当。
![]()
图2. (a) 室温298 K下TLM结构的I-V特性,以及(b) 298-573 K范围内d=10 µm TLM结构的I-V特性。(c) 温度依赖的片电阻(Rs)和接触电阻(Rc),以及(d) 从TLM测量中提取的AlN薄膜电阻率(ρ)和接触电阻率(ρc)。
图2(a)展示了室温下AlN欧姆接触的行为。电流随TLM pad间距d的增加而减小。由于AlN的超宽带隙(UWBG)和低电子载流子浓度,AlN欧姆接触的I-V行为仍然是非线性的,这在AlN和高Al含量的AlGaN中是常见的现象。I-V测量是从298 K到573 K进行的。图2(b)展示了所有温度下d=10 µm的I-V行为,直到573 K。如图2(c)所示,计算了薄膜片电阻(Rs)和接触电阻(Rc),随后在图2(d)中提取了AlN的电阻率(ρ)和欧姆接触的接触电阻率(ρc)。应当注意的是,由于I-V测量的非线性特性,电阻是在特定电压或电流值下计算的。在这项工作中,我们通过在20 V时除以相应的电流来计算电阻(R=V/I)。我们观察到室温下的ρc降低到3.59×10-2 Ωcm2,并且在473 K时达到最小值1.26×10-3 Ωcm2,这与高Al含量的AlGaN相当。此外,所得到的ρc也低于室温及高温下蓝宝石上Si离子注入AlN的ρc,后者仅在1100 K时显示出最低的可比ρc,为4.0×10-3 Ωcm2。
![]()
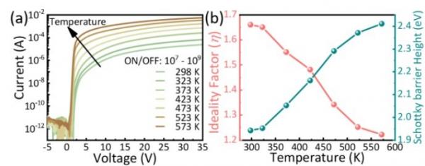
图3. (a) AlN SBDs的温度依赖性I-V特性。(b) 肖特基势垒高度(𝜑𝑒𝑓𝑓)与理想因子(η)的关系。
图3(a)展示了AlN SBDs的温度依赖性I-V特性。随着温度从室温变化到573 K,器件显示出107至109的高开/关比。使用TE模型,在每个温度下计算了η和𝜑𝑒𝑓𝑓。𝜑𝑒𝑓𝑓从1.94 eV增加到2.41 eV,而η随着温度的升高从1.65降低到1.23,𝜑𝑒𝑓𝑓与Ni肖特基接触的预测值吻合良好。值得注意的是,之前报道的高压AlN SBDs未能展示出接近理论值的高𝜑𝑒𝑓𝑓,这是由于偏离了TE模型。图3(b)展示了器件𝜑𝑒𝑓𝑓和η的温度依赖性。这种行为可以归因于金属/半导体界面的不均匀性,存在分布的高低肖特基势垒区域。这种行为在之前的报告中也很常见。随着温度的升高,电子具有足够的能量来克服较高的肖特基势垒区域,导致𝜑𝑒𝑓𝑓的增加。
![]()
图4. (a) AlN SBD的击穿特性。插图显示了在-600 V反向偏置下器件的TCAD模拟。(b) 最先进的AlN SBDs的理想因子(η)和归一化击穿电压(BV/LAC)的基准图。
图4(a)展示了室温下AlN SBDs的反向击穿测量结果。器件显示出640 V的击穿电压值,且由于电场拥挤效应(crowding effect),击穿在器件边缘是破坏性的。TCAD模拟表明,击穿的主要原因是阳极边缘下拥挤的电场,峰值场强为4 MV/cm。有效的边缘终止和高k介电质的钝化预计将进一步改善器件的击穿特性。图4(b)展示了最先进的横向AlN SBDs的基准图,其中也包括了垂直和准垂直器件以供参考。归一化击穿电压是通过将器件击穿电压除以LAC(即BV/LAC)来计算比较的。Quiñones等人展示了一个低理想因子η,但高击穿电压并未被报道。在其他横向高压AlN SBDs中,η非常高。这项工作首次同时展示了高击穿电压和超低η。此外,这项工作中的器件在横向AlN SBDs中展示了破纪录的高归一化击穿电压,也是AlN SBDs中报道的最高归一化击穿电压之一。
对于垂直和准垂直AlN SBDs,它们的击穿电压通过漂移层厚度进行归一化。Kinoshita等人展示了一个通过去除衬底得到的具有770 V击穿电压和150 µm外延层的垂直AlN SBD。Maeda等人报道了一个使用AlGaN电流扩散层的准垂直AlN SBD,漂移层厚度为0.7µm,击穿电压约为100V。这些垂直和准垂直器件都显示出η > 5的理想因子。
结论
总之,我们成功地在单晶AlN衬底上展示了MOCVD生长的AlN SBDs,具有超低的η=1.65理想因子和640 V的击穿电压。AlN同质外延生长层显示出优异的晶体质量和表面形态,AlN欧姆接触也得到了改善。器件正向特性主要由TE模型主导,导致超低的理想因子η和高𝜑𝑒𝑓𝑓。此外,该器件在横向AlN SBDs中展示了破纪录的高归一化BV/LAC。此外,该器件在高达573K的高温下展示了高稳定性。这项工作代表了向开发基于超宽禁带AlN基高压和高功率器件的重大技术进步。
原文源于【IOPscience】
(以上文章由奥趋光电翻译,如有涉及版权等问题,请联系我们以便处理)























