译自原文
Record >10 MV/cm mesa breakdown fields in Al0.85Ga0.15N/Al0.6Ga0.4N high electron mobility transistors on native AlN substrates
原文作者
Dolar Khachariya, Seiji Mita, Pramod Reddy, Saroj Dangi, J. Houston Dycus, Pegah Bagheri, M. Hayden Breckenridge, Rohan Sengupta,1 Shashwat Rathkanthiwar, Ronny Kirste, Erhard Kohn, Zlatko Sitar, Ramon Collazo, and Spyridon Pavlidis, North Carolina State University, Adroit Materials, Inc..
原文链接
https://doi.org/10.1063/5.0083966 Appl. Phys. Lett. 120, 172106 (2022)
项目支持方
美国国家科学基金会(NSF)、美国空军科学研究办公室(AFOSR)、美国陆军研究办公室(ARO)、美国能源部(DOE)、北卡罗来纳州立大学的Power America研究所、北卡罗来纳州立大学教师创业基金、北卡罗来纳州、国家科学基金会、北卡罗来纳研究三角纳米技术网络(RTNN)
摘要
富铝的AlGaN超宽禁带隙预计可实现远超GaN的击穿场强,但迄今为止报道的性能受到使用异质衬底的限制。本文研究了在2英寸单晶AlN衬底上生长的Al0.85Ga0.15N/Al0.6Ga0.4N高电子迁移率晶体管(HEMT)的材料和电学性质,展示了AlN单晶衬底释放了富铝AlGaN类器件实现高击穿场强的巨大潜力。我们进一步研究了对直接硅掺杂沟道层制成的欧姆接触如何降低膝处电压并增加输出电流密度。通过扫描透射电子显微镜确认了高质量的AlGaN生长,还揭示了在欧姆接触界面处没有金属渗透,并与现有的GaN基HEMT技术形成对比。具有1.3 μm间距的两端台面击穿特性显示出未掺杂Al0.6Ga0.4N沟道层的创纪录的高击穿场强约为11.5 MV/cm。对于栅漏距离为4 μm和9 μm的三端器件,测量的击穿电压分别为850 V和1500 V。
GaN基沟道高电子迁移率晶体管(HEMTs)已成为高频和高功率开关应用的激动人心的候选者。随着对更高性能的持续需求,超宽禁带隙(UWBG)半导体因其更高的击穿场强和能够在更高温度下运行而受到关注,成为下一代高功率和高频电子设备应用材料。特别是,基于富铝AlGaN的晶体管由于其大的临界电场、高的JFOM和BFOM优值,其临界电场从GaN的约3.7 MV/cm迅速增加到AlN的约17 MV/cm。
大多数基于富铝AlGaN的晶体管都是在带有AlN模板的蓝宝石衬底上生长的。这种薄膜中较大的位错密度限制了临界电场。例如,Abid等人测量了在蓝宝石衬底上生长的AlN缓冲层中接触点之间的击穿场强约为6 MV/cm。虽然相对较高,但与AlN的理论临界电场相比,报道的击穿场强仍然较低。在这项工作中,我们报告了在AlN单晶衬底上生长的Al0.85Ga0.15N/Al0.6Ga0.4N异质结结构测量出Al0.6Ga0.4N层中创纪录的高达11.5 MV/cm的击穿场强。这些结果突显了在使用高质量外延层(TDD<103 cm-2)时,富铝AlGaN的潜力。我们还研究了当沟道层顶部是Si掺杂时,欧姆接触布局对膝处电压和电流密度的影响。最近,我们报告了这一结构的初步结果。在本文中,我们将进一步阐述这一点:我们分析了台面击穿I-V特性的电压依赖性,报告了HEMT的三端击穿特性,并通过C-V进一步分析了Al0.85Ga0.15N/Al0.6Ga0.4N异质结。此外,我们通过透射电子显微镜(TEM)分析展示了这些结构在AlN单晶衬底上的高质量生长。
AlGaN沟道HEMT外延层是通过使用垂直、冷壁及射频(RF)加热的低压有机金属化学气相沉积(MOCVD)系统,在直径为2英寸的(0001)面PVT AlN单晶衬底上生长的,位错密度小于103 cm-2。HEMT结构由下至上依次为500 nm非故意掺杂(UID)AlN层、300 nm Al0.6Ga0.4N沟道层和20 nm Al0.85Ga0.15N势垒层[图1(a)]。Al0.6Ga0.4N沟道层的上半部分(150 nm)以5×1017 cm-3的浓度掺入Si。在沟道层而非势垒层引入掺杂的原因是为了避免高栅极泄漏。如下所述,这样还可以直接对掺杂的沟道层进行欧姆接触。生长后HEMT结构的均方根粗糙度约为0.5 nm。
通过原子力显微镜(AFM)确认,器件制备始于230 nm深的台面刻蚀,带有12°的斜边侧壁。源极(S)和漏极(D)接触通过电子束蒸发沉积V/Al/Ni/Au(30/100/70/70 nm)。实现了两种类型的源极/漏极接触几何结构:(1)仅在台面顶部有源极/漏极接触(器件A)[图1(b)];(2)源极/漏极接触延伸到斜边台面侧壁(器件B)[图1(c)]。然后在N2环境中以950℃对源极/漏极接触退火60 s。通过电子束蒸发Ni/Au接触形成栅极。器件A和器件B制备后的扫描电子显微镜(SEM)图像分别显示在图1(d)和图1(e)中。需要注意的是,这些HEMT器件未经钝化处理。
![]()
图1 a) 在2英寸AlN衬底上生长的AlGaN沟道HEMT结构的示意性横截面;(b) 制备的HEMT的横截面示意图,源极/漏极(S/D)接触(b)仅在台面顶部(器件A)以及 (c)延伸到台面侧壁(器件B),(d) 器件A和(e)器件B的扫描电子显微镜(SEM)图像。(f) 通过霍尔测量得到的温度依赖性载流子面密度(nS)和迁移率(μm)
图1(f)显示了通过范德堡方法进行的温度依赖性霍尔测量结果。在室温下,测量得到的载流子面密度(nS)约为1.9×1013 cm-2,迁移率(μn)为140 cm2/V s,以及 薄层电阻(RSH)为2500 Ω/sq。需要注意的是,nS是来自二维电子气(2DEG)区域和150 nm n型掺杂Al0.6Ga0.4N沟道的总密度。实验测量的载流子面密度与通过BandEng模拟器模拟的载流子面密度一致。在低于200K的温度下,观察到nS和μn的温度独立性,证实了2DEG的存在。在90K时,nS约为1.7×1013 cm-2,μn约为200 cm2/V s。从室温到高温,由于Si掺杂的n型Al0.6Ga0.4N沟道中载流子的激活,观察到nS的指数上升和μn的减小。在750 K时,nS约为3.9×10^13 cm-2,μn约为30 cm2/V s。在蓝宝石衬底上生长的相同结构(位错密度约为1010 cm-2)在室温下显示出nS约为7.6×1012 cm-2,μn约为92 cm2/V s,以及RSH约为8900 Ω/sq。因此,AlN单晶衬底上的HEMT在室温下显示出2.5倍的更高nS和1.5倍的更高μn,这表明由于位错密度较低,其具有更好的传输特性。
图2(a)显示了在100 kHz下测量的HEMT二极管电容-电压(C-V)特性。由于2DEG和掺杂沟道的耗尽,我们在在反向偏压下观察到两个不同的区域。通过积分C-V得到的栅极接触下的载流子面密度(nS)约为1.5×1013 cm-2,这与霍尔测量结果一致。图2(b)和插图显示了从C-V提取的掺杂浓度与深度的关系。这些图表证实了势垒表面下方18 nm处存在2DEG,以及在Al0.6Ga0.4N沟道中直至150 nm深度的n型掺杂浓度大于1017 cm-3。
![]()
图2 (a) 在100 kHz下测量的HEMT肖特基二极管的电容-电压(C-V)特性。(a)的插图显示了从C-V提取的载流子面密度(nS)作为电压偏置的函数。(b) 从C-V提取的HEMT结构的净施主密度剖面,以半对数刻度显示。(b)的插图在线性刻度上放大了势垒层和沟道层之间界面的同一密度剖面
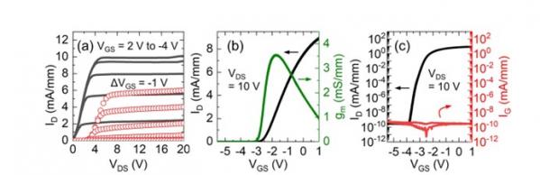
图3(a)比较了每个器件的HEMT输出特性。对于两种器件,都测试了从2到-4 V的栅源电压(VGS),步长为-1 V的值。器件A和器件B的漏源间距分别为7 μm和5 μm,两种器件的栅长均为1.5 μm。对于器件A,最大漏电流(ID,max)在VGS=2 V时为6 mA/mm,漏饱和电流(ID,sat)在VGS=0 V时为2 mA/mm。相比之下,对于器件B,ID,max在VGS=2 V时为10 mA/mm,ID,sat在VGS=0 V时为8 mA/mm。还应注意,器件A的开启电压和膝处电压比器件B约大2 V。这归因于欧姆接触设计的差异;在后一种情况下,接触通过台面侧壁连接到掺杂的沟道层,这有助于降低接触电阻。因此,预期在器件B中,当VDS<2 V时,载流子主要从侧壁直接注入到沟道层;在此范围以上,总电流由侧壁和顶面注入组成。这些机制将在未来进行更仔细的研究。与GaN HEMTs相比,AlGaN HEMTs的较低迁移率和显著较大的接触电阻降低了电流密度。尽管如此,我们工作中显示的接触设计依赖性为未来的性能改进带来了希望。
![]()
图3 (a) 器件A(圆圈)和器件B(线条)的输出特性。器件B的传输特性在(d)线性尺度和(e)对数尺度上
图3(b)显示了在漏源电压(VDS)= 10 V时,器件B几何结构的HEMT的线性尺度传输特性。提取的阈值电压(Vth)为-2.9 V,最大跨导(gm,max)为3.6 mS/mm。图3(c)在半对数图上显示了漏极(ID)和栅极(IG)电流。当器件关闭时,漏电流泄漏低于1 pA/mm,栅电流也保持在相同的电流水平。从图3(c)可以看出,HEMT的开/关比约为1010。还应注意,并没有观察到滞后现象。
为了更好地理解源极/漏极(S/D)接触行为,进行了扫描透射电子显微镜(STEM)分析。图4(a)显示了合金化金属/Al0.85Ga0.15N势垒/Al0.6Ga0.4N沟道/AlN外延层的STEM图像。STEM没有显示外延层中的任何缺陷,这证实了在AlN单晶衬底上的高质量生长。图4(b)显示了图4(a)中突出显示区域的合金化金属接触与Al0.85Ga0.15N势垒层之间界面的STEM图像。图像显示,在合金化接触后,金属并没有穿透势垒层,这可能是源极/漏极欧姆接触不良的原因。在其他地方也有报道,有限的金属渗透到富铝的AlGaN中,这促使人们研究了各种接触冶金、再生长接触和梯度AlGaN层接触。这些结果与GaN HEMT技术中观察到的情况不同。
![]()
图4 (a)合金欧姆金属/Al0.85Ga0.15N势垒/Al0.6Ga0.4N沟道/AlN的横截面STEM图像,以及(b)从(a)中所示的方框区域中合金金属与Al0.85Ga0.15N势垒层之间的界面
![]()
图5. UID Al0.6Ga0.4N层的双端台面击穿。(a)插图显示了结构的示意性横截面。(b) 1.3 μm台面距离的双端台面击穿的Log(J)与Log(V)特性。虚线显示了SCLC模型的拟合。(c)LGD为4和9 μm的HEMT的三端击穿特性。LSG和LG各为1.5 μm,VGS为20 V
双端台面击穿特性被用来估计Al0.6Ga0.4N沟道层的电场强度。图5(a)显示了两个台面间距(d)的结果:1.3 μm和3.3 μm。这些通过原子力显微镜(AFM)测量,并定义为台面蚀刻底部两个UID Al0.6Ga0.4N层之间的距离。图5(a)插图显示了台面间距结构的横截面示意图。1.3μm台面间距在~1500 V时显示出击穿,这对应于UID Al0.6Ga0.4N层上11.5 MV/cm的击穿电场。这是迄今为止测量的富铝AlGaN层中最高击穿场强。相比之下,它分别比AlN/Al0.5Ga0.5N/AlN HEMTs和AlN MESFETs报告的UID AlN缓冲台面击穿场强高约2倍和约4倍。如图5(a)所示,由于测量仪器的限制,3.3 μm台面间距器件的测量值高达2200 V。在此范围内,该器件未发生击穿,表明其能够承受 > 6.7 MV/cm的电场。这些发现支持了这样一个结论:在AlN单晶衬底上的生长导致了具有非常低位错密度的高质量外延层。这也与在AlN单晶衬底上生长的雪崩光电二极管(APDs)观察到的约10 MV/cm的击穿场强一致。
为了研究台面击穿结构中的泄漏导电机制,通过在对数-对数刻度上绘制来分析1.3 μm台面间距的I-V特性,如图5(b)所示。直到大约300 V,泄漏没有明显增加。在300V到1.5kV的击穿之间,漏电流遵循电压依赖的幂律(J∝Vn)。在300-500 V范围内,漏电流遵循欧姆定律(n=1),这意味着从金属接触点到UID Al0.6Ga0.4N的注入较弱,其中陷阱态被部分填充。在500 V以上,观察到J∝V²(即n=2)的依赖性,这表明空间电荷限制传导(SCLC)的开始。随着AlGaN HEMT技术的成熟,将对缓冲层泄漏机制进行更多研究。
图5(c)展示了两种不同栅极到漏极(LGD)距离的三端HEMT击穿特性,分别为4 μm和9 μm。在这两种情况下,源极到栅极(LSG)距离和栅极长度(LG)均为1.5 μm,VGS为- 20 V。如图所示,在无需使用任何边缘终止技术的情况下,4 μm和9 μm器件分别在VDS为850 V和1500 V时击穿。值得注意的是,在击穿之前,两种情况下的关态电流均保持在10 nA/mm以下。尽管在我们的案例中沟道层是掺杂的,但这些结果与文献中报道的HEMT击穿值相当。这些器件的最大电场估算需要TCAD模拟,这将留待未来的工作。
总之,通过MOCVD在2英寸AlN单晶衬底上生长了高质量的Al0.85Ga0.15N/Al0.6Ga0.4N HEMT结构。我们通过台面隔离结构报告了在UID Al0.6Ga0.4N层中的击穿场强约为11.5 MV/cm。这是迄今为止这种器件在实验中观察到的最大场强,并突显了UWBG氮化物在极端电子学中的潜力。
原文源于【AIP Publishing】
(以上文章由奥趋光电翻译,如有涉及版权等问题,请联系我们以便处理)























