译自原文
Suppressing the Leakage of GaN HEMTs on Single-Crystalline AlN Templates by Buffer Optimization
原文作者
Junbo Wang , Xiangdong Li , Member, IEEE, Zhibo Cheng, Tao Zhang , Shuzhen You , , Member, IEEE, Yue Hao , Senior Member, IEEE, and Jincheng Zhang , Member, IEEE are with Guangzhou Wide Bandgap Semiconductor Innovation Center, Guangzhou Institute of Technology, Xidian University; Wenyong Zhou, is with Empyrean Technology Company Ltd; Long Chen , Lezhi Wang, Zilan Li are with Guangdong Ziener Technology Company Ltd; Ye Yuan is with Songshan Lake Materials Laboratory; Tongxin Lu and Xinqiang Wang are with Songshan Lake Materials Laboratory, Dongguan.
原文链接
https://doi.org/10.1109/TED.2024.3466841, IEEE Transactions on Electron Devices ( Volume: 71, Issue: 11, November 2024
摘要
单晶氮化铝(AlN)模板是氮化镓(GaN)功率高电子迁移率晶体管(HEMTs)的理想候选材料,但目前相关系统性研究仍较为匮乏。本研究成功制备并系统评估了2英寸AlN模板上的高性能GaN HEMTs器件。研究团队通过在二次外延生长阶段引入AlN成核层,有效钝化了缓冲层/AlN衬底界面处由二次外延引入的Si与O杂质,使缓冲层横向漏电流密度显著降低五个数量级。实验结果表明,在100 μm栅极间距条件下,器件实现了超过10 kV的超高横向耐压特性。未采用场板结构的HEMTs器件展现出卓越的击穿电压(>8 kV)和开关比(10⁹量级)。此外,动态导通电阻(RON)退化幅度被有效控制在20%以内,且在关态应力后阈值电压(Vth)仅发生10%的偏移。本研究展示的高性能GaN高电子迁移率晶体管(GaN HEMTs)证明,单晶氮化铝(AlN)模板材料在制备高可靠性功率HEMT器件方面具有重要应用前景。
动态导通电阻(RON)退化幅度控制在20%以内,阈值电压(Vth)在关态应力后仅发生10%的漂移。本研究从材料优化角度验证了单晶AlN衬底在高性能、高可靠性功率HEMTs领域的重要应用潜力。
引言
GaN高电子迁移率晶体管(GaN HEMTs)因其卓越的高功率密度、高频开关特性及低功耗优势,在功率电子领域已展现出显著的技术优越性。过去十年间,氮化镓(GaN)在电力电子领域的应用取得了显著成就——应用场景已覆盖从15 V脉冲激光雷达驱动电路到900 V无桥图腾柱功率因数校正(PFC)设计的广泛电压范围。展望未来十年,GaN将加速向1200 V及以上高压电力电子市场渗透,重点应用于新能源汽车电子系统、可再生能源发电装置及工业应用等领域。
当前,GaN-on-Si技术路线在实现1200 V耐压等级时面临重大挑战——该电压等级需要在Si衬底上生长超厚GaN缓冲层,而Si与GaN之间存在显著的晶格失配和热膨胀系数差异,这一材料特性限制了缓冲层的质量提升。作为另一种技术路线,GaN-on-Sapphire已在功率HEMTs领域应用多年,如Transphorm公司成功开发出基于蓝宝石衬底的1200 V耗尽型(d-mode)GaN功率开关器件;Cui等人更在蓝宝石衬底上实现了击穿电压高达1.4 kV的增强型(e-mode)p-GaN栅极HEMTs。为进一步突破蓝宝石衬底的应用限制,研究者提出通过异质外延溅射工艺在蓝宝石表面预制AlN缓冲层(AlN/sapphire),该技术通过优化界面结构显著提升了后续GaN外延层的结晶质量,相关工艺已在LED照明领域实现规模化应用。然而,在功率电子领域,尽管Liang等人已初步验证AlN/蓝宝石衬底支撑1700 V GaN HFETs的可行性,但该技术路线仍面临缓冲层质量评估体系缺失、横向耐压机制不明确、动态特性(如电流崩塌效应)尚未系统表征等关键科学问题,导致GaN-on-AlN模板技术在功率电子领域的产业化应用仍存在显著差距。
为系统评估AlN模板在高压功率电子领域的应用可行性,本研究拟开展以下系统性研究工作:首先,通过外延生长工艺制备具有不同缓冲层结构的AlGaN/GaN HEMTs;其次,针对所制备器件开展缓冲层漏电特性与横向耐压能力的综合表征;在此基础上,结合实验结果与理论分析,对寄生漏电通道的形成机理提出科学假说,并据此设计针对性的缓冲层优化方案;最后,基于优化后的缓冲层结构制备HEMTs器件,通过电学性能测试与可靠性评估验证其综合性能。
![]()
图1. AlN模板上AlGaN/GaN异质结的截面结构示意图
外延生长与器件制备
本研究采用反应磁控溅射技术在2英寸c面蓝宝石衬底上制备AlN模板。具体工艺流程如下:首先通过氩气与氮气混合气体对溅射铝层进行氮化处理;随后将溅射态AlN晶圆置于管式炉中进行高温退火,在氮气氛围(流量0.5标准升/分钟)下于1700℃保温超过5小时,最终获得厚度约500 nm的AlN外延层。完整工艺细节可参阅文献[19]。
随后,采用金属有机化学气相沉积(MOCVD)系统在2英寸AlN模板上外延生长AlGaN/GaN异质结构。该外延结构由以下功能层构成:具有不同厚度与铝组分的(Al)GaN缓冲层、GaN沟道层、1 nm厚AlN隔离层、20 nm厚Al₀.₂₅Ga₀.₇₅N势垒层,以及2 nm厚GaN盖层或20 nm厚SiN盖层(结构示意图见图1)。需特别说明的是,本研究中的无缓冲层样品(样品1 - 6)直接在AlN模板上生长GaN沟道层,未设置缓冲层结构。
器件制备流程如下:首先采用原子层沉积(ALD)技术在仅覆盖2 nm GaN盖层的样品表面沉积5 nm氧化铝(Al₂O₃)层;随后通过多能级氮离子注入工艺定义器件有源区,注入能量分别为70 keV、140 keV和370 keV,目标注入剂量约1.5×10¹⁵ cm⁻²,结深约700 nm。接着采用BCl₃/Cl₂基电感耦合等离子体(ICP)干法刻蚀打开欧姆接触窗口,随后沉积10 nm钛(Ti)/200 nm铝(Al)金属层,并在氮气氛围下进行600℃、90秒快速热退火处理。最后通过电子束蒸发工艺制备钛/铝(Ti/Al)栅极金属层。所制备HEMTs器件关键结构参数为:栅极宽度WG=100 μm,栅极长度LG=4 μm,栅源间距LGS=1.5 μm,栅漏间距LGD为6~100 μm可调。
特别地,针对样品1将去除栅介质层与钝化层,形成肖特基栅结构;其余样品则保留完整栅介质层结构。各样品详细外延结构参数详见表1。
![]()
初步结果与讨论
A. 横向耐压特性
图2展示了样品1 - 6的横向耐压性能测试结果。该测试基于图2插图所示的特定结构——通过氮离子注入形成两个终端隔离区,并设置不同间距。与常规GaN-on-Si器件(其横向耐压电压随间距增大呈饱和趋势)不同,GaN-on-AlN器件展现出非饱和耐压特性,这归因于AlN/蓝宝石界面处不存在寄生导电通道。值得注意的是,样品4表现出异常高的漏电流(较其他样品高五个数量级)。由于样品4与样品2、3采用相同的Al₂O₃钝化层及工艺处理,可排除表面漏电路径的可能性。关键发现是:样品4的缓冲层厚度达1.1 μm,是唯一超过氮离子注入目标结深(700 nm)的样品。这表明漏电通道可能存在于靠近AlN模板的深层缓冲层区域。
图2. AlN模板上不同缓冲层结构的GaN样品(1 - 6)横向耐压特性对比
(插图为测试结构示意图)(a) 样品1 (b) 样品2 (c) 样品3(d) 样品4 (e) 样品5 (f) 样品6
B. 直流特性分析
图3展示了具有不同缓冲层结构、栅介质及栅电极的样品1 - 6的漏极电流-栅压(ID-VG)特性曲线。尽管这些样品在结构设计上存在显著差异,但所有器件均表现出低开关比和高关态漏电流的特征,这一现象明确揭示了器件内部存在漏电通道。值得注意的是,图2中横向耐压性能优异的样品同样表现出较高的关态漏电流,这表明在未进行氮离子注入的活性区域内仍存在寄生漏电路径。

图3. 不同栅极盖层结构的转移特性曲线对比(a) 样品1 - 4(2 nm GaN盖层)(b) 样品5 - 6(20 nm原位生长SiN盖层)
C. 寄生漏电通道定位分析
为确定GaN缓冲层中寄生漏电通道的位置,研究团队对图2所用样品5的横向耐压结构进行了活性区深度可控的感应耦合等离子体(ICP)刻蚀。如图4扫描电子显微镜(SEM)图像所示,制备了部分刻蚀与完全刻蚀两种样品。图5(a)显示:当保留30 nm厚GaN缓冲层时(部分刻蚀样品),寄生漏电通道仍然存在;与之形成鲜明对比的是,图5(b)表明在完全刻蚀样品中(GaN缓冲层被全部刻蚀至AlN模板),寄生漏电通道被彻底消除。

图4. GaN缓冲层刻蚀状态扫描电镜图像对比(a) 部分刻蚀GaN缓冲层样品(b) 完全刻蚀样品
这一对比结果明确揭示:寄生漏电通道极可能存在于GaN缓冲层/AlN模板界面处,而GaN缓冲层二次外延生长过程中引入的杂质可能是导致该失效现象的根本原因。

图5. 部分刻蚀与完全刻蚀样品横向耐压特性对比(插图为测试结构示意图)(a) 部分刻蚀样品 (b) 完全刻蚀样品

图6. 基于二次离子质谱(SIMS)的样品1中Si、O、Al、Ga元素浓度深度分布图
如图6所示,二次离子质谱(SIMS)分析揭示了样品1中Si、O、Al、Ga元素的浓度深度分布特征。在二次外延生长界面处可观察到显著的Si和O高浓度聚集现象。这主要是由于在缓冲层高温外延生长过程中,来自衬底与环境中的Si和O杂质向缓冲层内部扩散,并在缓冲层底部形成深埋电荷层。Fu等学者[25]研究指出,这些施主杂质可在外延界面处释放大量电子,该机制可能是导致器件漏电的根本原因。值得注意的是,SIMS测试结果显示在深度约0.1 μm处Si和O浓度异常升高,该现象源于SIMS表面拖尾效应导致的假信号干扰。
缓冲层优化抑制漏电机制
A. 结构优化设计
本研究通过在外延结构中引入50 nm厚AlN成核层,构建了新型缓冲层优化方案——该成核层位于AlN模板与(Al)GaN缓冲层之间。如表2所示,样品7采用简化结构设计:在50 nm AlN成核层上直接外延生长250 nm厚GaN沟道层;而样品8则采用阶梯梯度AlGaN缓冲层结构(L1–L3),即在50 nm AlN成核层与250 nm GaN沟道层之间插入300 nm厚的渐变组分AlGaN缓冲层。
如图7所示,二次离子质谱(SIMS)深度分析清晰揭示:AlN成核层可有效抑制背景Si杂质浓度,并彻底消除深埋电荷层,从而显著降低器件漏电流。
表2. 具有优化外延结构的样品7与样品8关键参数对比

图7. 基于二次离子质谱(SIMS)的样品7中Si、O、Al、Ga元素浓度深度分布图

图8. 样品7(无阶梯梯度AlGaN缓冲层)与样品8(含阶梯梯度AlGaN缓冲层)的XRD (002)与(102)晶面摇摆曲线对比(a) 样品7(b) 样品8
图8所示X射线衍射(XRD)摇摆曲线结果表明:样品7与样品8的GaN外延层在(002)晶面方向的半高宽(FWHM)均为216角秒;而在(102)晶面方向,样品7与样品8的半高宽分别为1008角秒和504角秒。这一对比数据证实,在单晶AlN模板上引入阶梯梯度AlGaN缓冲层,可有效降低位错密度并提升晶体质量。

图9. 样品7中GaN、AlGaN与AlN晶面(105)方向的不对称倒易空间图(RSM)

图10. 样品8中GaN、AlGaN与AlN晶面(105)方向的不对称倒易空间图(RSM)
图9与图10分别展示了样品7与样品8中GaN、AlGaN和AlN晶面的X射线衍射倒易空间图(RSM)。首先,图10清晰呈现了高温退火AlN(HTA-AlN,标记为S)和阶梯梯度AlGaN缓冲层(L1–L3)的衍射峰特征。由于AlGaN1和AlGaN2层的面内晶格参数与HTA-AlN完全一致,表明这两层材料处于完全压缩应变状态,未发生晶格弛豫。其次,在AlGaN3层中观察到应力累积效应,计算结果显示该层发生了62.22%的部分弛豫。这种部分弛豫的AlGaN3层有效缓解了与后续GaN层之间的面内晶格失配,从而显著抑制了刃型位错的产生。定量分析表明:样品7与样品8的弛豫程度分别为98.74%–103.41%和91.48%–91.65%。这一数据对比强有力地证明,在样品8中引入300 nm阶梯梯度AlGaN缓冲层可显著优化GaN外延层的摇摆曲线性能。
我们推断,双峰结构的形成源于AlN模板诱导的GaN沟道应变状态差异——这种应变或部分弛豫的GaN会呈现镶嵌式倾斜特征。Omega扫描结果显示,无论是阶梯梯度AlGaN缓冲层结构还是无缓冲层结构,GaN均表现出双峰特征,这为镶嵌式倾斜现象提供了直接证据。值得注意的是,直接生长在AlN模板上的GaN样品中第二衍射峰强度显著高于阶梯梯度AlGaN缓冲层样品,表明应力过渡层产生的信号更强,这与更大的晶格失配度和更高的刃型位错密度密切相关。类比本研究报告中的典型案例,我们提出对RSM测试中观测到衍射峰分裂现象的机理解释:GaN沟道存在异质性应变分布,且应变导致的平面倾斜会改变衍射角分离程度。
如图11所示(测试结构与图2完全一致),我们对样品7与样品8的横向耐压特性进行了系统表征。结果表明:由于样品7与样品8的总厚度均小于氮离子注入形成的700 nm结深,二者均呈现出典型的横向耐压特性。值得注意的是,如图11(b)所示,样品8展现出超过10 kV的超高横向阻断能力,显著优于常规器件水平。

图11. 样品7与样品8的横向耐压特性对比

图12. 栅漏间距LGD=6 μm条件下样品7与样品8的转移特性曲线
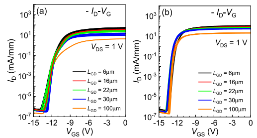
B. 直流特性分析
在样品7与样品8上制备的HEMTs器件延续了前述工艺流程。图12(a)与图12(b)分别展示了不同栅漏间距(LGD)器件的转移特性曲线。如图所示,尽管两类器件采用相同的SiN介质层,样品8器件呈现出更陡峭的亚阈值斜率。值得注意的是,两个样品器件的开关比均达到10⁸量级,证实通过在AlN模板与(Al)GaN缓冲层之间引入AlN成核层,寄生漏电通道已得到完全抑制。其物理机制在于:埋藏于超宽禁带AlN中的Si和O施主杂质难以电离,从而显著抑制了寄生漏电通道的形成。图13进一步展示了栅漏间距LGD=6 μm条件下,样品7与样品8器件的输出特性曲线。
C. 关断态耐压特性
。。。。。。
剩余原文请查看微信公众号【奥趋光电】























